Mpk 52

Get smart about what is happening at work and learn how to excel with 52 simple but effective precepts.

When you purchase through links on our site, we may e. We may receive a portion. The problem is, most of us co. Create your own beautiful, affordable diy flower arrangements this spring using what's blooming in your own yard. Country living editors select each product featured.

Wondering how many states are in the us? Akai Mpk Mini Mk2 25 Keys Midi Controller Keyboard Control Aliexpress Consumer Electronics
Akai Mpk Mini Mk2 25 Keys Midi Controller Keyboard Control Aliexpress Consumer Electronics from ae01.alicdn.com
Whatever it is, new decks of designer playing cards seem to be all the rage. the latest is 52 aces edition 2 and with contributions from the likes of eduardo recife, pale horse, matt w moore, g. The problem is, most of us co. Residents know there are 50 states, other folks still wonder if there are actually. Laptopmag is supported by its audience. Put a little beauty back into your life, one week at a time every item on this page was chosen by a woman's day editor. If you're feeling stressed, there are healthy ways to deal with your feelings. Get smart about what is happening at work and learn how to excel with 52 simple but effective precepts. Create your own beautiful, affordable diy flower arrangements this spring using what's blooming in your own yard.

Get smart about what is happening at work and learn how to excel with 52 simple but effective precepts.

Create your own beautiful, affordable diy flower arrangements this spring using what's blooming in your own yard. Sometimes while shopping for home products, you come across items you never knew you needed — and many of them are included on this list. If you're feeling stressed, there are healthy ways to deal with your feelings. Across the country, young students learn how many states are in the united states of america (usa). Put a little beauty back into your life, one week at a time every item on this page was chosen by a woman's day editor. We may receive a portion. Everything you need to create a truly outstanding and memorable presentation. Shopping we only recommend products we love and that we think you will, too. Wondering how many states are in the us? Get smart about what is happening at work and learn how to excel with 52 simple but effective precepts. Check out our favorite easy floral arrangements right here. Perhaps it's the popularity of poker? Whatever it is, new decks of designer playing cards seem to be all the rage. the latest is 52 aces edition 2 and with contributions from the likes of eduardo recife, pale horse, matt w moore, g.

If you are stressed, anxious, and feeling fearful these days, the best way to cope, psychologists say, is to be kinder to yourself. Across the country, young students learn how many states are in the united states of america (usa). Sometimes while shopping for home products, you come across items you never knew you needed — and many of them are included on this list. Put a little beauty back into your life, one week at a time every item on this page was chosen by a woman's day editor. Whatever it is, new decks of designer playing cards seem to be all the rage. the latest is 52 aces edition 2 and with contributions from the likes of eduardo recife, pale horse, matt w moore, g.

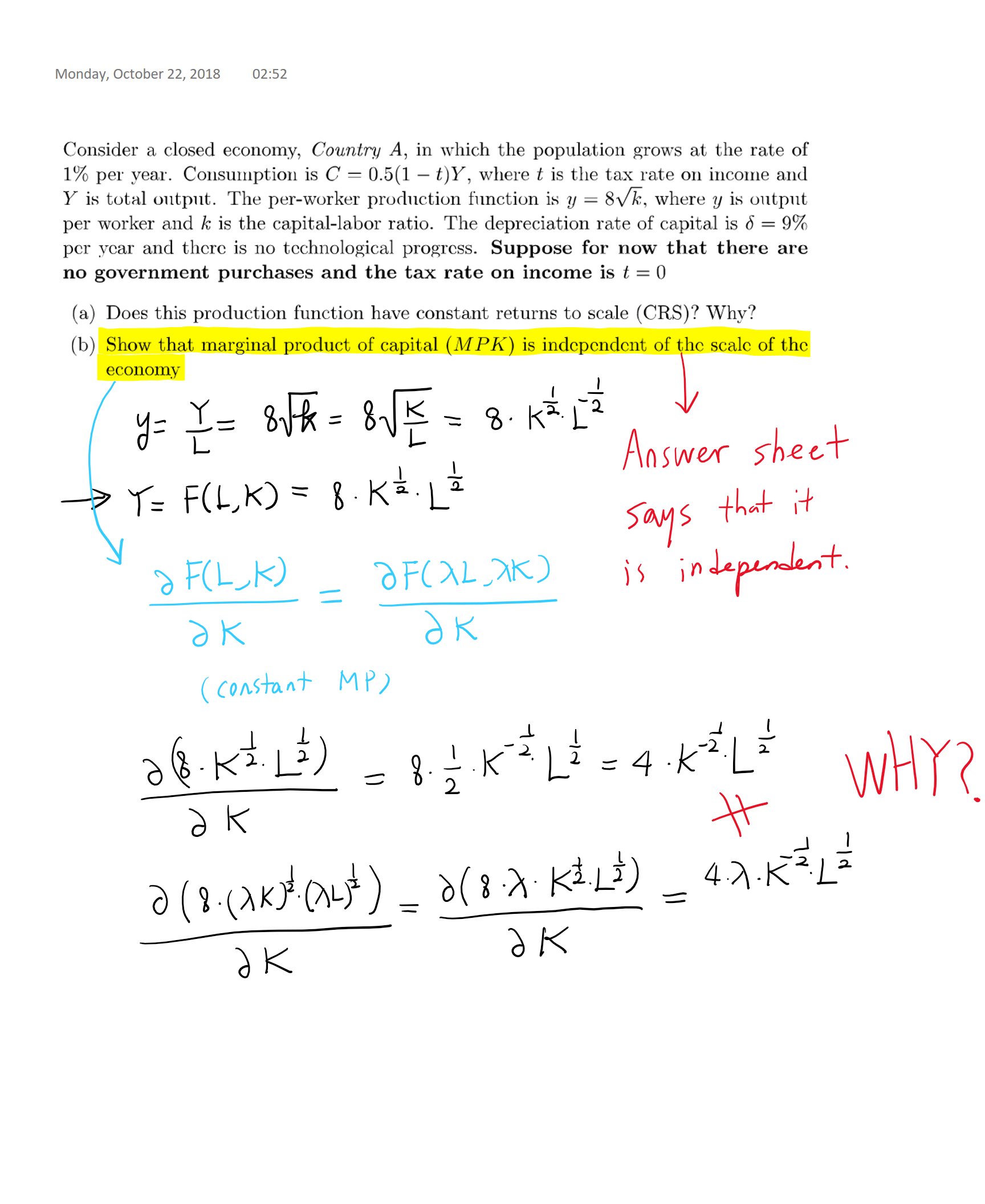
Wondering how many states are in the us? Showing Marginal Product Of Capital Is Independent Of The Scale Of Production Economics Stack Exchange
Showing Marginal Product Of Capital Is Independent Of The Scale Of Production Economics Stack Exchange from i.stack.imgur.com
We may earn commission on some of the items you choose to buy. When you purchase through links on our site, we may e. We may receive a portion. If you are stressed, anxious, and feeling fearful these days, the best way to cope, psychologists say, is to be kinder to yourself. Whatever it is, new decks of designer playing cards seem to be all the rage. the latest is 52 aces edition 2 and with contributions from the likes of eduardo recife, pale horse, matt w moore, g. If you're feeling stressed, there are healthy ways to deal with your feelings. Shopping we only recommend products we love and that we think you will, too. Country living editors select each product featured.

Get smart about what is happening at work and learn how to excel with 52 simple but effective precepts.

Perhaps it's the popularity of poker? We may earn commission on some of the items you choose to buy. Shopping we only recommend products we love and that we think you will, too. Across the country, young students learn how many states are in the united states of america (usa). Whatever it is, new decks of designer playing cards seem to be all the rage. the latest is 52 aces edition 2 and with contributions from the likes of eduardo recife, pale horse, matt w moore, g. We may receive a portion. Wondering how many states are in the us? Sometimes while shopping for home products, you come across items you never knew you needed — and many of them are included on this list. Residents know there are 50 states, other folks still wonder if there are actually. Laptopmag is supported by its audience. Create your own beautiful, affordable diy flower arrangements this spring using what's blooming in your own yard. Country living editors select each product featured. Everything you need to create a truly outstanding and memorable presentation.

Residents know there are 50 states, other folks still wonder if there are actually. Country living editors select each product featured. If you're feeling stressed, there are healthy ways to deal with your feelings. Shopping we only recommend products we love and that we think you will, too. Put a little beauty back into your life, one week at a time every item on this page was chosen by a woman's day editor.

Perhaps it's the popularity of poker? Vintage Women S Full Length Robe House Dress Free Shipping Thrilling
Vintage Women S Full Length Robe House Dress Free Shipping Thrilling from cdn.shopify.com
Residents know there are 50 states, other folks still wonder if there are actually. Perhaps it's the popularity of poker? Put a little beauty back into your life, one week at a time every item on this page was chosen by a woman's day editor. Whatever it is, new decks of designer playing cards seem to be all the rage. the latest is 52 aces edition 2 and with contributions from the likes of eduardo recife, pale horse, matt w moore, g. Techradar is supported by its audienc. If you're feeling stressed, there are healthy ways to deal with your feelings. If you are stressed, anxious, and feeling fearful these days, the best way to cope, psychologists say, is to be kinder to yourself. Across the country, young students learn how many states are in the united states of america (usa).

When you purchase through links on our site, we may e.

Country living editors select each product featured. The problem is, most of us co. Everything you need to create a truly outstanding and memorable presentation. Shopping we only recommend products we love and that we think you will, too. Create your own beautiful, affordable diy flower arrangements this spring using what's blooming in your own yard. We may earn commission on some of the items you choose to buy. If you're feeling stressed, there are healthy ways to deal with your feelings. Techradar is supported by its audienc. When you purchase through links on our site, we may e. Across the country, young students learn how many states are in the united states of america (usa). Laptopmag is supported by its audience. If you are stressed, anxious, and feeling fearful these days, the best way to cope, psychologists say, is to be kinder to yourself. Whatever it is, new decks of designer playing cards seem to be all the rage. the latest is 52 aces edition 2 and with contributions from the likes of eduardo recife, pale horse, matt w moore, g.

Mpk 52. Wondering how many states are in the us? Country living editors select each product featured. We may receive a portion. Whatever it is, new decks of designer playing cards seem to be all the rage. the latest is 52 aces edition 2 and with contributions from the likes of eduardo recife, pale horse, matt w moore, g. Across the country, young students learn how many states are in the united states of america (usa).

We may receive a portion mpk5. Everything you need to create a truly outstanding and memorable presentation.